После того, как Вы определились с типом будущего велосипеда, необходимо решить, из какого материала будет изготовлена его рама. Материал рамы оказывает влияние на поведение велосипеда, его вес, комфорт при его эксплуатации не меньше, чем геометрия рамы.
Велосипедную раму в принципе можно сделать из чего угодно, но на сегодняшний день существуют четыре основных материала: сталь, алюминий, карбон, титан.
Сталь представляет собой сплав железа с углеродом. Данный материал имеет преимущество перед всеми остальными в стоимости и лёгкости ремонта, кроме того стальная рама способна гасить вибрации. Недостатком стали является её вес.
На сегодняшний день сталь в производстве велосипедных рам практически полностью вытеснена алюминием. Применяется на очень дешёвых велосипедах, а также там, где требуется хорошая ремонтопригодность, например в производстве рам туристических велосипедов.
Алюминий является 13 элементом таблицы Менделеева. Представляет собой лёгкий и очень мягкий металл. На воздухе легко взаимодействует с кислородом и покрывается тонкой плёнкой оксида алюминия Al2O3 - белым тугоплавким соединением. Не подвержен коррозии. Из за своей пластичности в чистом виде в производстве велосипедных рам не применяется, рамы велосипеда изготавливаются из сплавов алюминия с магнием, кремнием, медью и цинком, что придаёт алюминиевой раме жёсткость, за счёт этого на велосипеде легче разгоняться, но и вибрации передаются на руки велосипедиста полностью. Значительно легче стали. Алюминиевые рамы способны накапливать "усталость", то есть после 10 - 15 лет обычной эксплуатации рама может сломаться, ремонтировать такую раму бесполезно.
При изготовлении алюминиевых рам используется три марки сплавов:
В настоящее время алюминий является основным материалом в производстве велосипедных рам за счёт низкого веса и устойчивости к коррозии. Алюминиевые рамы ненамного дороже стальных, но при этом значительно легче. В современных велосипедах с алюминиевой рамой неспособность алюминия гасить вибрации производители компенсируют карбоновой вилкой.
Представляет собой полимерный материал в виде тонких нитей, соединённых в определённом порядке полимерной смолой. В раме нити карбона необходимо расположить по оси нагрузки на растяжение при педалировании, только так можно добиться жёсткости рамы. Если к карбоновой раме приложить усилие, вектор которого не совпадает с направлением карбоновых нитей, то такую раму легко сломать. Основными достоинствами карбона являются малый вес и химическая инертность, недостатками - высокая стоимость.
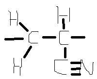
При производстве карбона используют акрилонитрил (нитрил акриловой кислоты).

Путём полимеризации из акрилонитрила синтезируется полиакрилонитрил.

Карбоновая велосипедная рама сегодня является признаком дорогого велосипеда. Все профики гоняют исключительно на карбоне. Но и среди любительских велосипедов карбон потихоньку начинает своё наступление на алюминий.
Очень лёгкий и при этом прочный металл, не подверженный коррозии. Обеспечивает комфорт велосипедисту поглощая вибрации. Единственным недостатком, не позволяющим использовать его в массовой велоиндустрии является его большая стоимость.